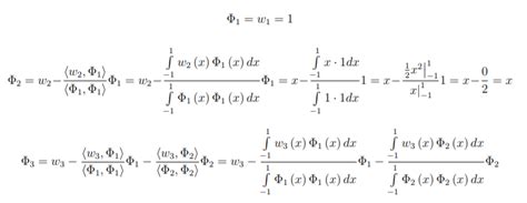
James Oliveras Blog